امروز 8 خرداد 1405

حل عددی معادله دیفرانسیل جزئی (ناپایا، دو بعدی با شرایط مرزی ناهمگن)

علی آرمند

حل عددی معادله دیفرانسیل جزئی (ناپایا، دو بعدی با شرایط مرزی ناهمگن)

علی آرمند

حل عددی معادله دیفرانسیل جزئی (ناپایا، دو بعدی با شرایط مرزی ناهمگن)

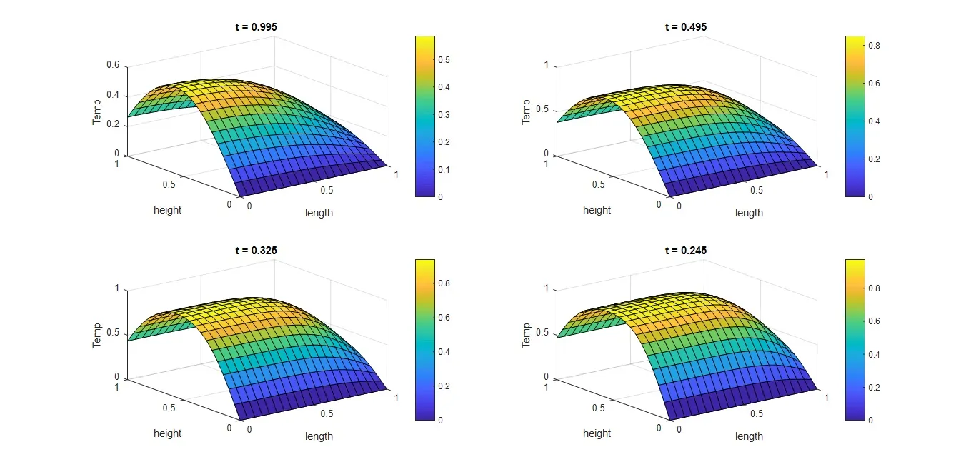
نتایج حل عددی برای 4 زمان مختلف با استفاده از روش اختلاف محدود گزارش شده است. همانطور که از پروفایل دمایی پیداست، ‏این صفحه دارای یک ماکزیمم دمایی می باشد. این ماکزیمم در ابتدای صفحه و در جایی که شرط ‏مرزی نوع دوم (عایق داریم) قرار دارد.

1 خرداد 1402

مهارت‌های استفاده شده

متلب

1 خرداد 1402

علی آرمند علی آرمند

علی آرمند

سایر نمونه‌کارهای