جستجوی پروژه
برای پروژههای ثبت شده پیشنهاد کار ارسال کنید.
جستجوی فریلنسر / مجری
مجریان متخصص را برای پروژه خود انتخاب کنید.
حل تشریحی
کاربر609
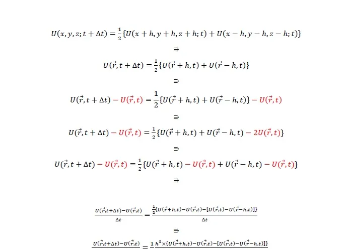
حل دستی دو سوال معادلات
27 مهر 1398
مهارتهای استفاده شده
ریاضیات
سایر نمونهکارهای کاربر609
آیا میخواید از نوتیفیکیشن ها با خبر شوید؟