جستجوی پروژه
برای پروژههای ثبت شده پیشنهاد کار ارسال کنید.
جستجوی فریلنسر / مجری
مجریان متخصص را برای پروژه خود انتخاب کنید.
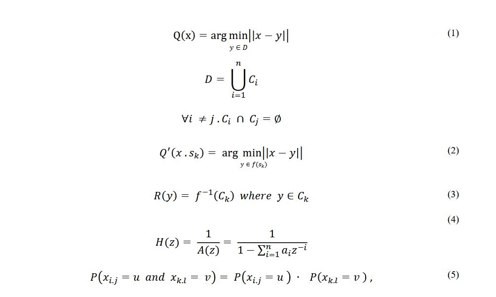
تایپ امتحان و فرمول
طراح و برنامهنویس
جهت طراحی نمودارها یا اشکال هندسی از فتوشاپ استفاده میکنم.
12 دی 1403
مهارتهای استفاده شده
فتوشاپ Word
سایر نمونهکارهای طراح و برنامهنویس
آیا میخواید از نوتیفیکیشن ها با خبر شوید؟