جستجوی پروژه
برای پروژههای ثبت شده پیشنهاد کار ارسال کنید.
جستجوی فریلنسر / مجری
مجریان متخصص را برای پروژه خود انتخاب کنید.
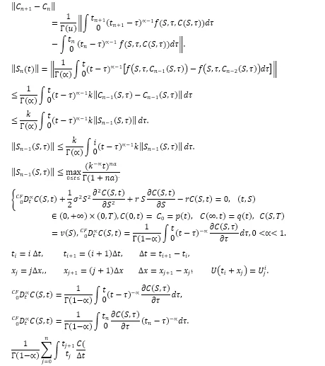
تایپ فرمول دار
ahmadroody
تایپ فرمول دار با دقت
25 تیر 1404
مهارتهای استفاده شده
تایپ
سایر نمونهکارهای ahmadroody
آیا میخواید از نوتیفیکیشن ها با خبر شوید؟