امروز 30 بهمن 1404

شبیه‌سازی روش MPPT توسط الگوریتم بهینه‌سازی وال تحت شرایط سایه جزئی

Alinateghi

شبیه‌سازی روش MPPT توسط الگوریتم بهینه‌سازی وال تحت شرایط سایه جزئی

Alinateghi

شبیه‌سازی روش MPPT توسط الگوریتم بهینه‌سازی وال تحت شرایط سایه جزئی

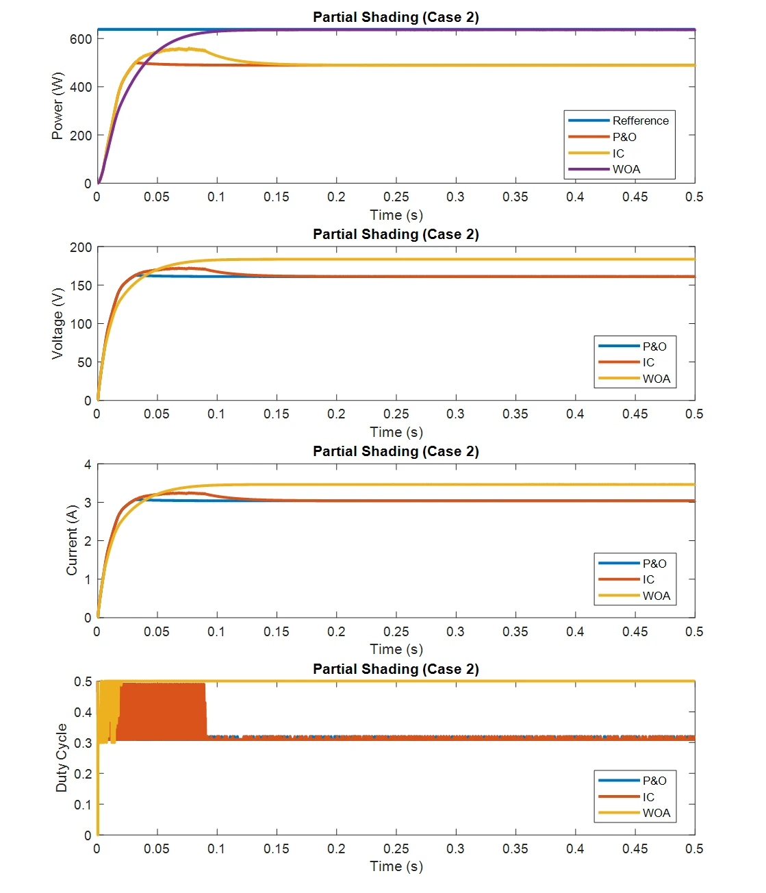
در این گزارش نتایج شبیه‌سازی روش ردیابی نقطه توان حداکثر توسط الگوریتم بهینه‌سازی وال تحت شرایط سایه جزئی ارائه می‌شود. الگوریتم بهینه‌سازی وال (WOA) یکی از روش‌های بهینه‌سازی فرا ابتکاری هوشمند است که از رفتار غذایابی وال‌ها الهام می‌گیرد. این الگوریتم به تازگی مورد توجه مهندسین و محققین برای مسائل بهینه‌سازی مختلف بکار گرفته شده است و نتایج مطلوبی را از خود نشان داده است. روش ردیابی نقطه توان حداکثر مبتنی بر الگوریتم بهینه‌سازی وال (WOA-MPPT) می‌تواند تحت شرایط سایه جزئی مقدار چرخه کار مبدل بوست سیستم‌های فتوولتائیک را بصورت بهینه تعیین کند در نتیجه با این روش نقطه حداکثر توان کلی (GMPP) از نقاط حداکثر توان محلی (LMPP) تشخیص داده می‌شود.

22 بهمن 1404

مهارت‌های استفاده شده

مهندسی برق شبیه سازی کنترل فازی

22 بهمن 1404