جستجوی پروژه
برای پروژههای ثبت شده پیشنهاد کار ارسال کنید.
جستجوی فریلنسر / مجری
مجریان متخصص را برای پروژه خود انتخاب کنید.
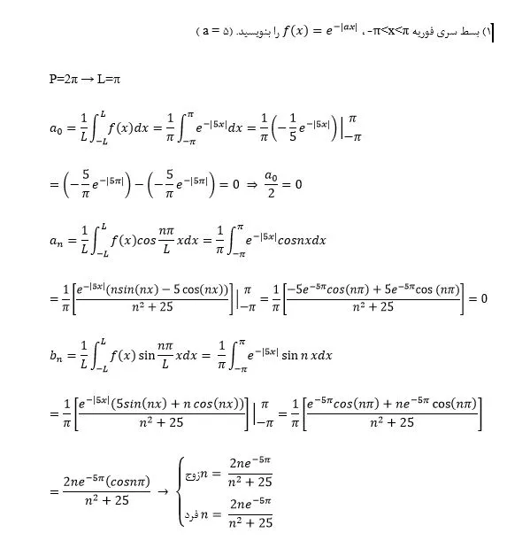
فرمول
amp1371
تایپ ریاضی و فرمول های حرفه ای
7 اسفند 1398
مهارتهای استفاده شده
Word
سایر نمونهکارهای amp1371
آیا میخواید از نوتیفیکیشن ها با خبر شوید؟