امروز 7 خرداد 1405

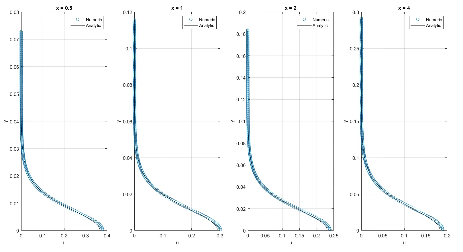
پروفیل سرعت سیال خروجی از یک جت

CFD and Programming Consultant

پروفیل سرعت سیال خروجی از یک جت

CFD and Programming Consultant

پروفیل سرعت سیال خروجی از یک جت

معادله دیفرانسیل حاکم بر جریان بصورت عددی حل شده و نتایج با حالت تحلیلی مقایسه شده است.

21 مرداد 1399

مهارت‌های استفاده شده

متلب

21 مرداد 1399

CFD and Programming Consultant CFD and Programming Consultant

CFD and Programming Consultant

سایر نمونه‌کارهای