امروز 8 خرداد 1405

شبیه سازی معادلات ترمودینامیکی و محاسبه خواص ترمودینامیکی

N.Moghadam

شبیه سازی معادلات ترمودینامیکی و محاسبه خواص ترمودینامیکی

N.Moghadam

شبیه سازی معادلات ترمودینامیکی و محاسبه خواص ترمودینامیکی

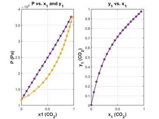
شبیه سازی و محاسبه خواص ترمودینامیکی مخلوط CO2 و H2S با استفاده از معادله حالت پنگ رابینسون و معادله ضریب فعالیت

8 اسفند 1403

مهارت‌های استفاده شده

مهندسی شیمی متلب

8 اسفند 1403