امروز 8 خرداد 1405

معادله بازگشتی به روش FTADM

Eng hanif

معادله بازگشتی به روش FTADM

Eng hanif

معادله بازگشتی به روش FTADM

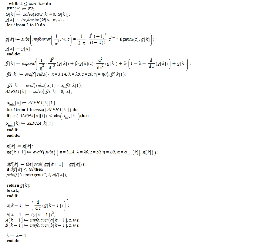
تشکیل معادله بازگشتی با استفاده از سری ادومیان و روش FTADM و به دست اوردن جواب مسیله به نحوی که خطای جمله n ام دنباله از مقداری مشخص کمتر باشد.

15 تیر 1404

مهارت‌های استفاده شده

مهندسی مکانیک Maple

15 تیر 1404