امروز 15 آذر 1404

شبیه‌سازی سیستم قدرت با منابع تولید پراکنده

faportfolio

شبیه‌سازی سیستم قدرت با منابع تولید پراکنده

faportfolio

شبیه‌سازی سیستم قدرت با منابع تولید پراکنده

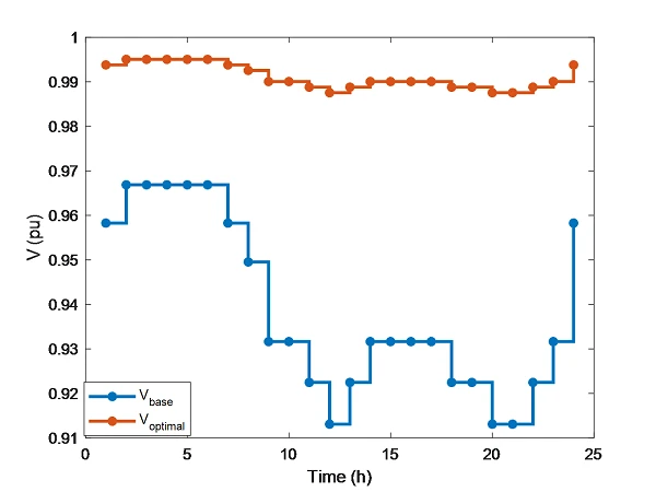
تحلیل اثرات نصب منابع DG بر شبکه توزیع در محیط MATLAB/Simulink و بررسی پروفایل ولتاژ باس‌ها، توان تزریقی و پاسخ دینامیکی سیستم. پروژه شامل مدلسازی دقیق، گزارش کامل و مستندسازی برای ارائه صنعتی بود.

25 تیر 1404

مهارت‌های استفاده شده

مهندسی برق طراحی مهندسی متلب

25 تیر 1404

faportfolio faportfolio

faportfolio

سایر نمونه‌کارهای