امروز 29 آذر 1404

به نام خداوند جان و خرد             کزین برتر اندیشه برنگذرد 

  • رتبه 16 کارشناسی ارشدبرق از دانشگاه امیر کبیر
  • مهندسی برق و مخابرات / شبیه‌سازی

Matlab/Simulink: کنترل کلاسیک و پیشرفته (PID، LQR، H∞)، مدل‌سازی سیستم‌ها
کنترل موتورهای DC/BLDC/القایی، PWM، درایو چهارماسفت
HFSS/Ansys: طراحی و بهینه‌سازی آنتن (Patch Array)، پارامترهای S، SAR/Absorption
DIgSILENT/PowerFactory: پخش بار، اتصال کوتاه، مدلسازی شبکه
TRNSYS/EES: شبیه‌سازی انرژی، PCM، کوپل با کد سفارشی برای تایپها غیر قابل دسترس مانند تایپ840
رادار/SAR: RMA، Stolt، محاسبه PSLR/ISLR
STM32 (Bare-metal/CubeMX): UART، PWM، کنترل تراستر و ادغام با Raspberry Pi

  • تسلط کامل به زبان انگلیسی و آلمانی
  • نگارش و ویرایش مقلات با استاندارد ژورنالی
  • برنامه‌نویسی و هوش مصنوعی

Python (FastAPI، پردازش داده، اسکریپتینگ)، REST/WebSocket
JavaScript/TypeScript (React/Next.js، Node.js)
یادگیری عمیق: CNN با PyTorch/TensorFlow
الگوریتم‌های بهینه‌سازی (GA/MOGA، PSO)
پردازش سیگنال/تصویر (Matlab/Python)

  • وب و وردپرس

توسعه افزونه اختصاصی (Plugin Dev)، CPT، ACF
کاستوم‌سازی و سبک‌سازی قالب‌ها (Woodmart, Astra, …)
ووکامرس: درگاه پرداخت، حمل‌ونقل، مالیات، چندارزی
سئو فنی: Core Web Vitals، اسکیما، Sitemap/robots، Canonical
بهینه‌سازی سرعت: کش (LiteSpeed/Redis)، CDN، Minify، Lazyload
امنیت وردپرس: Hardening، WAF، بکاپ و مالور کلیناپ
مهاجرت محتوا وردپرس ↔ DNN (.NET) با حفظ URL و SEO

  • میزبانی/ایمیل/DevOps

WHMCS: اتوماسیون تمدید/فاکتور، Cron، Hook، نوتیف ایمیل/SMS
ایمیل و دلیوری: SPF/DKIM/DMARC، rDNS، تنظیمات Exim/Postfix
لینوکس و وب‌سرور: Nginx/Apache، PHP-FPM، تیونینگ MySQL/MariaDB
CI/CD و Docker، مانیتورینگ و بکاپ
راه‌اندازی و عیب‌یابی CDN

فعالیت به عنوان مجری

در حال بارگذاری ...

2,000,000 تومان

به پاس حسن انجام کار، توسط خریدار پاداش به مجری پرداخت شده است.

پاداش

" پاداش "

2,000,000 تومان


چهار روز پیش .

جزییات امتیاز دریافتی مجری

برای " صحت سنجی  یک مقاله بتنی با آباکوس او ... "

(رای توسط کاربر230096 )

میانگین امتیاز مجری:     10.00 از ۱۰

در دسترس بودن
10
میزان تخصص
10
تعامل مجری
10
کیفیت حاصل کار
10
میزان همکاری
10
تحویل به موقع
10

جزییات امتیاز دریافتی مجری

برای " صحت سنجی  یک مقاله بتنی با ... "

(رای توسط کاربر230096 )

میانگین امتیاز مجری:     10.00 از ۱۰

در دسترس بودن
10
میزان تخصص
10
تعامل مجری
10
کیفیت حاصل کار
10
میزان همکاری
10
تحویل به موقع
10

برای " صحت سنجی  یک مقاله بتنی با آباکوس اوپنسیس یا متلب یا هر نرم افزار دیگه و توضیح کلی رون ... "

37,000,000 تومان

کارشون خوب بود و بسیار زودتر از موعد مقرر کار رو تموم کردند.

برای " صحت سنجی  یک مقاله بتنی با آباکوس اوپنسیس یا متلب یا هر نرم افزار دیگه و توضیح کلی روند کار در یک ویدیو "

37,000,000 تومان


یک روز پیش .

جزییات امتیاز دریافتی مجری

برای " شبیه سازی با کنترل پیشنهادی جدید "

(رای توسط کاربر630377 )

میانگین امتیاز مجری:     10.00 از ۱۰

در دسترس بودن
10
میزان تخصص
10
تعامل مجری
10
کیفیت حاصل کار
10
میزان همکاری
10
تحویل به موقع
10

جزییات امتیاز دریافتی مجری

برای " شبیه سازی با کنترل پیشنهاد ... "

(رای توسط کاربر630377 )

میانگین امتیاز مجری:     10.00 از ۱۰

در دسترس بودن
10
میزان تخصص
10
تعامل مجری
10
کیفیت حاصل کار
10
میزان همکاری
10
تحویل به موقع
10

برای " شبیه سازی با کنترل پیشنهادی جدید "

22,500,000 تومان

با تشکر از لطف و همکاری ایشان. بسیار خوب و باحوصله کار را آماده و تحویل نمودند.

برای " شبیه سازی با کنترل پیشنهادی جدید "

22,500,000 تومان


یک ماه پیش .

جزییات امتیاز دریافتی مجری

برای " کمک وهمراهی در کدنویسی پروژه پایانی "

(رای توسط کاربر721704 )

میانگین امتیاز مجری:     10.00 از ۱۰

در دسترس بودن
10
میزان تخصص
10
تعامل مجری
10
کیفیت حاصل کار
10
میزان همکاری
10
تحویل به موقع
10

جزییات امتیاز دریافتی مجری

برای " کمک وهمراهی در کدنویسی پرو ... "

(رای توسط کاربر721704 )

میانگین امتیاز مجری:     10.00 از ۱۰

در دسترس بودن
10
میزان تخصص
10
تعامل مجری
10
کیفیت حاصل کار
10
میزان همکاری
10
تحویل به موقع
10

برای " کمک وهمراهی در کدنویسی پروژه پایانی "

8,000,000 تومان

انسان بسیار شریف،دلسوز،متعهد وباسواد.حتما ایشون در راس اولویت های انتخاب تون قراربدید

برای " کمک وهمراهی در کدنویسی پروژه پایانی "

8,000,000 تومان


بدون امتیاز .

برای " پروژه خصوصی "

550,000 تومان

کارفرما پروژه را پذیرش کرده اما هیچ نظری برای مجری ارسال نکرده است.

برای " پروژه خصوصی "

550,000 تومان


یک ماه پیش .

جزییات امتیاز دریافتی مجری

برای " شخصی سازی یک قالب وردپرس آگهی سه زبانه "

(رای توسط کاربر243636 )

میانگین امتیاز مجری:     10.00 از ۱۰

در دسترس بودن
10
میزان تخصص
10
تعامل مجری
10
کیفیت حاصل کار
10
میزان همکاری
10
تحویل به موقع
10

جزییات امتیاز دریافتی مجری

برای " شخصی سازی یک قالب وردپرس آ ... "

(رای توسط کاربر243636 )

میانگین امتیاز مجری:     10.00 از ۱۰

در دسترس بودن
10
میزان تخصص
10
تعامل مجری
10
کیفیت حاصل کار
10
میزان همکاری
10
تحویل به موقع
10

برای " شخصی سازی یک قالب وردپرس آگهی سه زبانه "

23,300,000 تومان

از همه نظر عالی

برای " شخصی سازی یک قالب وردپرس آگهی سه زبانه "

23,300,000 تومان


1,700,000 تومان

به پاس حسن انجام کار، توسط خریدار پاداش به مجری پرداخت شده است.

پاداش

" پاداش "

1,700,000 تومان


دو ماه پیش .

جزییات امتیاز دریافتی مجری

برای " طراحی کنترل کننده چند مبدل فعال دو ط ... "

(رای توسط mo1991 )

میانگین امتیاز مجری:     8.83 از ۱۰

در دسترس بودن
8
میزان تخصص
10
تعامل مجری
9
کیفیت حاصل کار
10
میزان همکاری
9
تحویل به موقع
7

جزییات امتیاز دریافتی مجری

برای " طراحی کنترل کننده چند مبدل ... "

(رای توسط mo1991 )

میانگین امتیاز مجری:     8.83 از ۱۰

در دسترس بودن
8
میزان تخصص
10
تعامل مجری
9
کیفیت حاصل کار
10
میزان همکاری
9
تحویل به موقع
7

برای " طراحی کنترل کننده چند مبدل فعال دو طرفه به منظور تثبیت ولتاژ و بهبود کیفیت توان "

13,000,000 تومان

مجری بسیار با تعهد

برای " طراحی کنترل کننده چند مبدل فعال دو طرفه به منظور تثبیت ولتاژ و بهبود کیفیت توان "

13,000,000 تومان


it7 it7

بدون امتیاز .

برای " اصلاح مقاله "

5,950,000 تومان

کارفرما پروژه را پذیرش کرده اما هیچ نظری برای مجری ارسال نکرده است.

برای " اصلاح مقاله "

5,950,000 تومان


سه ماه پیش .

جزییات امتیاز دریافتی مجری

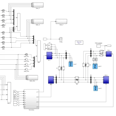
برای " ریزشبکه‌های متناوب چند ژنراتور همزما ... "

(رای توسط کاربر47150 )

میانگین امتیاز مجری:     10.00 از ۱۰

در دسترس بودن
10
میزان تخصص
10
تعامل مجری
10
کیفیت حاصل کار
10
میزان همکاری
10
تحویل به موقع
10

جزییات امتیاز دریافتی مجری

برای " ریزشبکه‌های متناوب چند ژنر ... "

(رای توسط کاربر47150 )

میانگین امتیاز مجری:     10.00 از ۱۰

در دسترس بودن
10
میزان تخصص
10
تعامل مجری
10
کیفیت حاصل کار
10
میزان همکاری
10
تحویل به موقع
10

برای " ریزشبکه‌های متناوب چند ژنراتور همزمان مجازی "

22,000,000 تومان

perfect great با اینکه کار من بسیار سخت و پیچیده بود به خوبی و بسیار تمیز کارو تحویل دادن واقعا کارشون حرف نداره

برای " ریزشبکه‌های متناوب چند ژنراتور همزمان مجازی "

22,000,000 تومان


در حال بارگذاری ...

فعالیت به عنوان خریدار

در حال بارگذاری ...

شش سال پیش .

جزییات امتیاز دریافتی خریدار

(رای توسط سعید )

میانگین امتیاز خریدار:     10.00 از ۱۰

شفافیت خواسته‌ها
10
تعامل کارفرما با شما
10
پرداخت به موقع
10
در دسترس بودن
10
میزان همکاری
10

جزییات امتیاز دریافتی خریدار

برای " شبیه سازی خودرو الکتریکی "

(رای توسط سعید )

میانگین امتیاز خریدار:     10.00 از ۱۰

شفافیت خواسته‌ها
10
تعامل کارفرما با شما
10
پرداخت به موقع
10
در دسترس بودن
10
میزان همکاری
10

کارفرمای محترمی هستن به امید همکاری بیشتر


شش سال پیش .

جزییات امتیاز دریافتی خریدار

(رای توسط Behzad91 )

میانگین امتیاز خریدار:     10.00 از ۱۰

شفافیت خواسته‌ها
10
تعامل کارفرما با شما
10
پرداخت به موقع
10
در دسترس بودن
10
میزان همکاری
10

جزییات امتیاز دریافتی خریدار

برای " ماشین سنکرون "

(رای توسط Behzad91 )

میانگین امتیاز خریدار:     10.00 از ۱۰

شفافیت خواسته‌ها
10
تعامل کارفرما با شما
10
پرداخت به موقع
10
در دسترس بودن
10
میزان همکاری
10

به امید همکاری مجدد


در حال بارگذاری ...